Вначале предлагаем таблицу основных интегралов и далее полная таблица (около 150 ) интегралов, а также калькулятор табличных интегралов.

1. Функции,содержащие


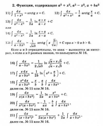
2. Функции, содержащие

3. Функции, содержащие иррациональность вида

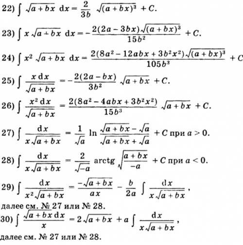
4. Функции, содержащие иррациональность вида

5. Функции, содержащие иррациональность вида

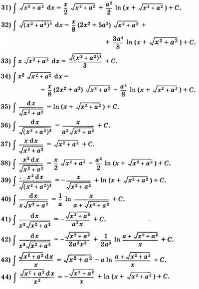
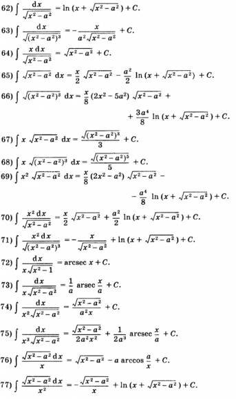
6. Функции, содержащие иррациональность вида
7. Функции, содержащие иррациональность вида

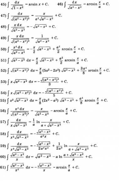
8. Функции, содержащие

9. Функции, содержащие

10, Другие алгебраические функции

11. Показательные и тригонометрические функции

12. Логарифмические функции

Калькулятор табличных интегралов
Решение. Вставляем в калькулятор подынтегральную функцию в виде x/(sqrt(x^2+a^2)), нажимаем кнопку "Ok".
Можно заказать решение интеграла в авторском исполнении.
Решение выполняется на Word, пример решения интеграла.
Стоимость решения одного неопределенного интеграла 30 руб.
А также, по форме обратной связи, можно заказать решение контрольной работы по высшей математике.
